2027MBA报考测评申请中......
说明:您只需填写姓名和电话即可免费预约!也可以通过拨打热线免费预约
我们的工作人员会在最短时间内给予您活动安排回复。
导读:又是新的周一,今天的数学小黑板为大家讲解“MBA加油站Lisa老师带你三小时搞定数学基石第13集——组合与组合数公式”。
文字解析
题目
今年中秋节,MBA加油站教研部从10位老师中选出3位,分别在9.15,9.16,9.17这三天值班,请问有多少种排法?
中秋节放三天假,MBA加油站教研部从10位老师中选出3位值班,一共有几种方案?
组合与组合数公式
(1)组合
从n个不同元素中,任意取出m个元素并为一组,叫做从n个不同元素中取出m个元素的一个组合。
(2)组合数
从n个不同元素中,取出m(m≦n)个元素的所有组合的种数,称为从n个不同元素中,取出m个不同元素的组合数,记作
。
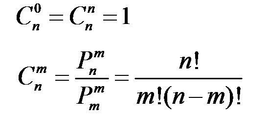
(3)公式

(4)组合数的性质

(重要,常用)
你真的分清楚啥时候用排列,啥时候用组合了么?
1、40个大学毕业生选3个出来,分别去北、清、人实习.
2、40个大学毕业生选3个出来,去西部支教.

